Proceedings

Cover Gallery

Challenges in Water Electrolyzer
Challenges in Water Electrolyzer
Ru-Embedded Carbon Fabric
Ru-Embedded Carbon Fabric
Amine Chemistry of Porous CO2 Adsorbents
Amine Chemistry of Porous CO2 Adsorbents
Boronization of Nickel Foam for Sustainable Electrochemical Reduction of Nitrate to Ammonia
Boronization of Nickel Foam for Sustainable Electrochemical Reduction of Nitrate to Ammonia
How Reproducible are Surface Areas Calculated from the BET Equation?
How Reproducible are Surface Areas Calculated from the BET Equation?
Extensive Screening of Solvent-linked Porous Polymers through Friedel-Crafts Reaction for Gas Adsorption
Extensive Screening of Solvent-linked Porous Polymers through Friedel-Crafts Reaction for Gas Adsorption
Alkyl-linked porphyrin porous polymers for gas capture and precious metal adsorption
Alkyl-linked porphyrin porous polymers for gas capture and precious metal adsorption
Quantifying the nitrogen effect on CO2 capture using isoporous network polymers
Quantifying the nitrogen effect on CO2 capture using isoporous network polymers
Direct Access to Primary Amines and Particle Morphology Control in Nanoporous CO2 Sorbents
Direct Access to Primary Amines and Particle Morphology Control in Nanoporous CO2 Sorbents
Enhanced Sorption Cycle Stability and Kinetics of CO2 on Lithium Silicates Using the Lithium Ion Channeling Effect of TiO2 Nanotubes
Enhanced Sorption Cycle Stability and Kinetics of CO2 on Lithium Silicates Using the Lithium Ion Channeling Effect of TiO2 Nanotubes
  • High capacity carbon dioxide adsorption by inexpensive covalent organic polymers

    H. A. Patel, F. Karadas, A. Canlier, J. Park, E. Deniz, Y. Jung, M. Atilhan, C. T. Yavuz
    J. Mater. Chem., 22, 8431-8437
    2012
    High capacity carbon dioxide adsorption by inexpensive covalent organic polymers
    Efficient CO2 scrubbing without a significant energy penalty remains an outstanding challenge for the fossil fuel-burning industry where aqueous amine solutions are still widely used. Porous materials have long been evaluated for next generation CO2 adsorbents. Porous polymers, robust and inexpensive, show promise as feasible materials for the capture of CO2 from warm exhaust fumes. We report the syntheses of porous covalent organic polymers (COPs) with CO2 adsorption capacities of up to 5616 mg g−1 (measured at high pressures, i.e. 200 bar) and industrially relevant temperatures (as warm as 65 °C). COPs are stable in boiling water for at least one week and near infinite CO2/H2 selectivity is observed
  • Amidoximes: Promising candidates for CO2 capture

    S. Zulfiqar, F. Karadas, J. Park, E. Deniz, G. D. Stucky, Y. Jung, M. Atilhan, C. T. Yavuz
    Energy Environ. Sci., 4, 4528-4531
    2011
    Amidoximes: Promising candidates for CO2 capture
    Monoethanolamine (MEA) dominates power plant carbon dioxide (CO2) scrubbing processes, though with major disadvantages such as a 8–35% energy penalty. Here we report that structurally comparable amidoximes are promising CO2 capture agents based on RIMP2 electronic structure calculations. This was experimentally verified by the synthesis and testing of representative amidoximes for capture efficiencies at pressures as high as 180 bar. Acetamidoxime, which has the highest percent amidoxime functionality showed the highest CO2 capacity (2.71 mmol g−1) when compared to terephthalamidoxime (two amidoximes per molecule) and tetraquinoamidoxime (four amidoximes per molecule). Polyamidoxime surpassed activated charcoal Norit RB3 for CO2 capture per unit surface area. Adsorption isotherms exhibit Type IV behavior and acetamidoxime found to increase CO2 capture with temperature, a less observed anomaly. Porous amidoximes are proposed as valuable alternatives to MEA.
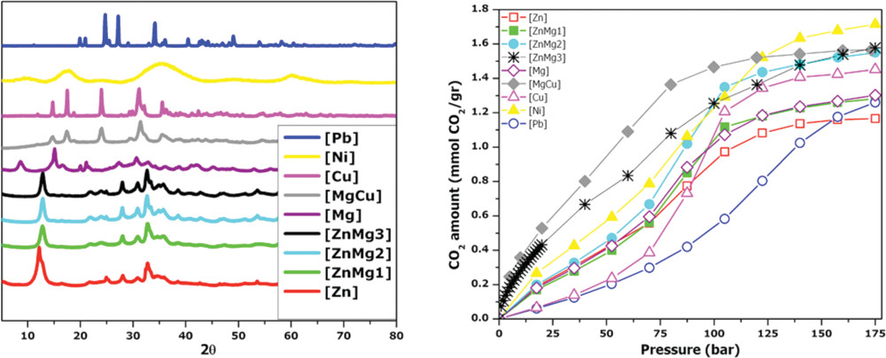
  • CO2 adsorption studies on hydroxy metal carbonates, M(CO3)x(OH)y (M= Zn, Zn-Mg, Mg, Mg-Cu, Cu, Ni, and Pb) at high pressures up to 175 bar

    F. Karadas, C. T. Yavuz, S. Zulfiqar, S. Aparicio-Martinez, G. D. Stucky, M. Atilhan
    Langmuir, 27 (17), 10642–10647
    2011
    CO2 adsorption studies on hydroxy metal carbonates, M(CO3)x(OH)y (M= Zn, Zn-Mg, Mg, Mg-Cu, Cu, Ni, and Pb) at high pressures up to 175 bar
    Carbon dioxide (CO(2)) adsorption capacities of several hydroxy metal carbonates have been studied using the state-of-the-art Rubotherm sorption apparatus to obtain adsorption and desorption isotherms of these compounds up to 175 bar. The carbonate compounds were prepared by simply reacting a carbonate (CO(3)(2-)) solution with solutions of Zn(2+), Zn(2+)/Mg(2+), Mg(2+), Cu(2+)/Mg(2+), Cu(2+), Pb(2+), and Ni(2+) metal ions, resulting in hydroxyzincite, hydromagnesite, mcguinnessite, malachite, nullaginite, and hydrocerussite, respectively. Mineral compositions are calculated by using a combination of powder XRD, TGA, FTIR, and ICP-OES analysis. Adsorption capacities of hydroxy nickel carbonate compound observed from Rubotherm magnetic suspension sorption apparatus has shown highest performance among the other components that were investigated in this work (1.72 mmol CO(2)/g adsorbent at 175 bar and 316 K).
  • Investigation on novel thermoplastic poly(urethane-thiourea-imide)s with enhanced chemical and heat resistance

    A. Kausar, S. Zulfiqar, C. T. Yavuz, M. I. Sarwar
    Polym. Degrad. Stabil., 96 (7), 1333-1341
    2011
    Investigation on novel thermoplastic poly(urethane-thiourea-imide)s with enhanced chemical and heat resistance
    A new generation of segmented thermoplastic poly(urethane-thiourea-imide)s (PUTIs) was synthesized via reaction of polyethylene glycol and thiourea-based prepolymer with dianhydride as chain extenders. NCO-terminated prepolymer was synthesized from a new diisocyanate, 3-(3-((4-isocyanatophenyl)carbamoyl)thioureido)phenyl-4-isocyanatophenylcarbamate (IPCT), as a hard segment and PEG forming soft segment. The starting materials and polymers were characterized by conventional methods and physical properties such as solubility, solution viscosity, molecular weight, thermal stability and thermal behavior were studied. PUTIs showed partially crystalline structures. Weight average molecular weights of PUTIs (GPC measurements) were in the range of 1,68,694–1,97,035. Moreover, thermogravimetric analysis indicated that poly(urethane-thiourea-imide)s were fairly stable above 500 °C having T10 of 521–543 °C. Investigation of the results authenticated the approach of introducing thiourea (using IPCT) and imide structure in polyurethanes for the improvement of thermal stability. In comparison to typical polyurethanes, these polymers exhibited better heat resistance, chemical resistance as well as processability.
  • A multiplexed separation of iron oxide nanocrystals using variable magnetic fields

    J. T. Mayo, S. S. Lee, C. T. Yavuz, W. W. Yu, A. Prakash, J. C. Falkner, V. L. Colvin
    Nanoscale, 3, 4560-4563
    2011
    A multiplexed separation of iron oxide nanocrystals using variable magnetic fields
    The size-dependent magnetic properties of nanocrystals are exploited in a separation process that distinguishes particles based on their diameter. By varying the magnetic field strength, four populations of magnetic materials were isolated from a mixture. This separation is most effective for nanocrystals with diameters between 4 and 16 nm.
  • Pollution Magnet: Nano Magnetite for Arsenic Removal from Drinking Water

    C. T. Yavuz, J. T. Mayo, C. Suchecki, J. Wang, A. Z. Ellsworth, H. D’Couto, E. Quevedo, A. Prakash, L. Gonzalez, C. Nguyen, C. Kelty, V. L. Colvin
    Environ. Geochem. Health, 32:327–334
    2010
    Pollution Magnet: Nano Magnetite for Arsenic Removal from Drinking Water
    Arsenic contamination in groundwater is a severe global problem, most notably in Southeast Asia where millions suffer from acute and chronic arsenic poisoning. Removing arsenic from groundwater in impoverished rural or urban areas without electricity and with no manufacturing infrastructure remains a significant challenge. Magnetite nanocrystals have proven to be useful in arsenic remediation and could feasibly be synthesized by a thermal decomposition method that employs refluxing of FeOOH and oleic acid in 1-octadecene in a laboratory setup. To reduce the initial cost of production, $US 2600/kg, and make this nanomaterial widely available, we suggest that inexpensive and accessible “everyday” chemicals be used. Here we show that it is possible to create functional and high-quality nanocrystals using methods appropriate for manufacturing in diverse and minimal infrastructure, even those without electricity. We suggest that the transfer of this knowledge is best achieved using an open source concept.

Contact us now

Looking forward to creating value with you

Learn More >>